
Collision это синтезатор имитирующий характеристики ударных перкуссионных инструментов. Он был создан в сотрудничестве с Applied Acoustics Systems, Collision использует технологию физического моделирования для создания различных звукообразующих и резонирующих компонентов реальных (или выдуманных) объектов.
Полная версия Collision не поставляется со стандартной версией Live, но он доступен для отдельного приобретения в качестве дополнения в сочетании эффектом Corpus.
Архитектура и интерфейс
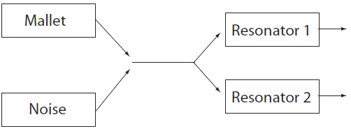
Звук в Collision производится с помощью пары осцилляторов называемых Mallet (колотушка) и Noise (шум), которые передают сигнал на пару несвязанных (или связанных) стерео резонаторов. Несмотря на то, что осцилляторы производят начальные компоненты звука, параметры резонатора имеют наибольшее влияние на его характер.
Интерфейс Collision разделён на закладки, которые в свою очередь разделены на разделы. Закладка Excitator (раздражитель) содержит элементы управления осцилляторами Mallet и Noise. Закладка Resonator (резонатор) содержит параметры для разделов несвязанных резонаторов, в то время как закладка Link (привязка) позволяет настраивать оба резонатора одновременно.
Закладка LFO (низкочастотный осциллятор) содержит два независимых низкочастотных осциллятора, каждый из которых может модулировать несколько параметров. Кроме того, закладка MIDI предназначена для модуляции MIDI колесом высоты тона (pitch bend), и для сообщений послекасания, которые будут направляться в нескольких направлениях.
Справа от резонаторов находится раздел глобальных параметров, включающий в себя общий уровень выходящей громкости, полифонию и параметры маршрутизации резонаторов.
В качестве дополнения к удобству и организации, закладки Collision содержат светодиоды, которые загораются, указывая на то, что содержащиеся в данных закладках разделы являются активными. В целях сохранения ресурсов процессора стоит отключить неиспользуемые разделы.
Закладка Excitator
Закладка Excitator содержит параметры для разделов Mallet (колотушка) и Noise (шум). Они моделирую поведение удара колотушки по поверхности и обеспечивают основу звука Collision. Параметры этого раздела управляют только начальным импульсом, который является гораздо меньшим компонентом в итоговом звучании по сравнению с резонаторами.
Обратите внимание, что если отключены оба раздела Mallet и Noise, то Collision не будет производить звук.
Раздел Mallet

Раздел Mallet (колотушка) имитирует удар колотушки по поверхности. Параметры устанавливают физические свойства самой колотушки.
Параметр Volume (громкость) управляет общей выходящей громкостью данного раздела, в то время как регулятор Noise устанавливает величину воздействия шума который входит в каждый удар колотушки. Это полезно для моделирования «шелковистости» звучания головки колотушки обёрнутой войлоком. Параметры Volume и Noise могут быть модулированы высотой ноты и её велосити путём настройки ползунков K (клавиша) и V (велосити) соответственно.
Регулятор Stiffness (жёсткость) настраивает жёсткость колотушки. При низких значениях колотушка становится мягкой, и в результате производит меньшее количество высоких частот, а также более продолжительный и менее отчетливый удар. При повышении уровня жёсткости, время удара сокращается и увеличивается количество высоких частот. Этот параметр также может быть модулирован высотой ноты и её велосити путём настройки ползунков Key (клавиша) и Vel (велосити) соответственно.
Регулятор Color (цвет) устанавливает частоту шумовой составляющей. При более высоких значениях в шуме становится меньше низких частот. Этот параметр не производит никакого эффекта если параметр Noise установлен в значение 0.
Раздел Mallet может быть включен или выключен с помощью включателя рядом с его названием.
Раздел Noise

Раздел Noise (шум) можно использовать вместо или в дополнение к разделу Mallet. Как и Mallet, раздел Noise производит начальный импульс звука Collision. Но Noise также производит компонент белого шума, который затем подаётся на многорежимный фильтр и специальную огибающую.
Параметр Volume (громкость) управляет общей выходящей громкостью данного раздела и может быть модулирован высотой ноты и её велосити путём настройки ползунков K (клавиша) и V (велосити) соответственно.
Справа находятся элементы управления фильтром. Меню выбора его типов позволяет выбирать между низкочастотным, высокочастотным и двумя типами полосных фильтров. Частоту среза и резонанс фильтра можно регулировать ползунками выше дисплея фильтра, или путём перетаскивания маркера в самом дисплее. В режиме BP (полосовой) второй ползунок регулирует резонанс, в то время как в режиме LP+HP (низкочастотный + высокочастотный), он регулирует пропускную способность. Частота фильтра также может модулироваться высотой тона ноты, велосити или огибающей - количество модуляции устанавливается с помощью ползунков K (клавиша), V (велосити) и E (огибающая), которые расположены под дисплеем.
Генератор огибающей это стандартная ADSR (Attack, Decay, Sustain, Release – атака, спад, удержание, затухание).
Время атаки - определяет как быстро Noise достигает максимального уровня громкости - управляется с помощью ползунка A (Attack), а время за которое огибающая достигнет уровня удержания после фазы атаки устанавливается ползунком D (Decay).
Ползунок S (Sustain) устанавливает уровень, на котором огибающая будет удерживаться с момента окончания фазы спада до отпускания клавиши. При установке параметра в 0, фаза удержания отсутствует. При значении 100, отсутствует фаза спада.
Наконец, время окончательного затухания устанавливается ползунком R (Release). Это время, которое необходимо огибающей, чтобы достичь нуля после того, как будет отпущена клавиша.
Раздел Noise может быть включен или выключен с помощью включателя рядом с его названием.
Закладка Resonator

Основная часть характера звучания Collision определяется параметрами в обеих закладках Resonator. Каждый стерео резонатор можно включить и выключить при помощи выключателя на его закладке. Помните, что при выключении обоих резонаторов звук не будет производиться.
Каждый раздел резонаторов разделён на три подраздела. Слева находятся элементы управления связанные с настройкой высоты тона. В центре расположены элементы управления, которые определяют физические характеристики резонирующего объекта. Справа находятся микшер. Центральный подраздел каждого резонатора содержит кнопку Сору to (копировать для). Нажатие этой кнопки копирует настройки параметров данного подраздела в другой резонатор.
Закладка link (связать), расположенная между закладками Resonator, позволяет настраивать параметры обоих резонаторов одновременно. Поведение здесь схоже с редактированием свойств нескольких выбранных клипов: параметры которые имеют различные значения будут отображать диапазон значений (либо на ручке, либо в строке состояния для ползунков или меню) и могут быть настроены при помощи связанных элементов. Перемещение параметров в их абсолютно максимальное или минимальное значение будет делать настройки одинаковыми, настраивая их как одно значение.
Раздел Tuning

Ручки Tune (настройка) и Fine (точная настройка) работают как грубый и точный регуляторы высоты тона. Tune поднимает или опускает высоту с шагом в один полутон, в то время как Fine настраивает с шагом в один цент (максимум до одной четвёртой тона (50 центов) вверх или вниз).
Ползунок Key под ручкой Tune регулирует, насколько высота тона резонатора зависит от высоты MIDI ноты. Значение по умолчанию 100% означает, что резонатор будет соответствовать обычному равному темперированному строю. При 200% каждый шаг в пол тона на клавиатуре будет приводить к изменению на полный тон. При отрицательных значениях резонатор будет снижать высоту тона при игре на клавиатуре вверх.
Параметры Pitch Envelope (огибающая высоты тона) применяют наклон, который модулирует высоту тона резонатора с течением времени. Pitch (высота тона) устанавливает начальную высоту тона, а Time (время) настраивает, за сколько времени высота тона дойдёт до своего окончательного значения. Начальную высоту тона может модулировать велосити ноты, количество модуляции устанавливается при помощи ползунка Vel (велосити).
Раздел физических свойств

Меню выбора типов позволяет выбирать один из семи типов физически моделируемых резонансных объектов:
- Beam (брусок) - имитирует резонансные свойства брусков из разных материалов и размеров.
- Marimba (маримба) - особый вариант модели Beam, воспроизводит характерные высоты обертонов брусков маримбы, которые получаются в результате глубоких дуговых вырезов в брусках.
- String (струна) - имитирует звук производимый струнами из различных материалов и размеров.
- Membrane (мембрана) - представляет собой модель прямоугольной мембраны (такой как у барабана) с изменяемым размером и конструкцией.
- Plate (пластина) - имитирует звук производимый прямоугольной пластиной (плоской поверхностью) из различных материалов и размеров.
- Pipe (трубка) - имитирует цилиндрическую трубку, которая полностью открыта на одном конце и имеет изменяемое открытие на другом (настраивается с помощью параметра Opening (открытие)).
- Tube (труба) - имитирует цилиндрическую трубу, закрытую с обеих сторон.
Меню выбора качества управляет компромиссом между качеством звука резонаторов и производительностью за счёт сокращения количества рассчитываемых обертонов. Basic используется для минимальной нагрузки на процессор, в то время как Full создаёт более сложные резонансы. Этот параметр не используется для резонаторов Pipe или Tube.
Ползунок Decay (спад) настраивает внутреннее поглощение резонатора, которое определяет время его затухания. Off Decay определяет степень, в которой сообщения отпускания MIDI ноты заглушают резонанс. При 0%, отпускание нот игнорируется, и время спада основывается только на значении параметра Decay. Это похоже на то, как ведут себя в реальные мире колотушки таких инструментов как маримба и глокеншпиль. При 100% резонанс глушится сразу же после сообщения об отпускании ноты, независимо от времени Decay.
Ползунок Material (материал) регулирует изменение затухания на различных частотах. При низких значениях низкочастотные компоненты распадаются медленнее, чем высокочастотные компоненты (это имитирует объекты из дерева, нейлона или резины). При более высоких значениях, медленнее распадаются высокочастотные компоненты (это имитирует предметы, сделанные из стекла или металла). Этот параметр не используется для резонаторов Pipe или Tube.
Параметр Radius (радиус) доступен только для резонаторов Pipe и Tube. Этот ползунок настраивает радиус трубки и трубы. С увеличением радиуса время спада Decay и время удержания высоких частот увеличиваются. При очень больших размерах также изменяется основная высота тона резонатора.
Параметры Decay и Material/Radius также могут управляться с помощью X-Y контроллера, и модулироваться высотой тона и велосити ноты при помощи ползунков под X-Y панелью.
Параметр Ratio (соотношение) доступен только для резонаторов Membrane и Plate, он настраивает соотношение размеров объекта по осям X и Y.
Параметр Brightness (яркость) настраивает амплитуду различных частотных составляющих. При более высоких значениях высокие частоты звучат громче. Этот параметр не используется для резонаторов Pipe или Tube.
Регулятор Inharm. (Inharmonics - положение гармоник) регулирует высоту гармоник резонатора. При отрицательных значениях, частоты сжимаются, увеличивая количество низких обертонов. При положительных, частоты растягиваются, увеличивая количество высоких обертонов. Этот параметр не применяется к резонаторам Pipe или Tube. Inharmonics также может быть модулирован велосити ноты при помощи ползунка, расположенного под его ручкой.
Opening (открытость) доступно только для резонатора Pipe, это переход между открытой и закрытой трубой. При 0%, труба полностью закрыта с одной стороны, в то время как при 100% труба открыта с обоих концов. Этот параметр также может быть модулирован велосити ноты при помощи ползунка, расположенного под его ручкой.
Параметры ListeningL (слышимость слева) и ListeningR (слышимость справа) настраивают левое и правое расположение на резонаторе, где измеряются колебания. При 0%, резонанс контролируется в центре объекта. Более высокие значения перемещают точки прослушивания ближе к краю. Эти параметры не используются для резонаторов Pipe или Tube, которые всегда измеряются в середине их постоянно открытого конца.
Регулятор Hit (удар) настраивает место на резонаторе, в котором объект ударяется или активируется иным образом. При 0%, объект ударяется в его центре. Более высокие значения перемещения точку активации ближе к краю. Этот параметр не используется на резонаторах Pipe или Tube.
Позиция Hit также может быть выбрана случайным образом при помощи увеличения значения ползунка Rd. (случайность), расположенного под ручкой.
Раздел микшера

Каждый резонатор имеет свои собственные элементы управления Volume (громкость) и Pan (панорама). Pan также может быть модулировано высотой тона ноты при помощи ползунка K (клавиша) под ручкой.
Регулятор Bleed (проникновение) смешивает часть оригинального сигнала осциллятора с сигналом резонатора. При высоких значениях, пропускается большее количество оригинального сигнала. Это полезно для восстановления высоких частот, которые часто могут быть затухшими после установки низкой высоты тона и низкого качества.
Закладка LFO

Collision имеет два независимых LFO (низкочастотный осциллятор) которые могут быть использованы в качестве источников для модуляции различных параметров раздражителя и резонаторов, цель модуляции выбирается из меню Destination (направление). Кроме того LFO могут модулировать друг друга.
Включатели LFO 1 и LFO 2 включают и выключают соответствующие LFO, в то время как меню сигналов определяет форму волны. Возможные варианты: синусоида, квадрат, треугольник, пилообразная вверх, пилообразная вниз и два типа шума. Первый тип шума использует случайные резко изменяющиеся значения, в то время как второй - гладкие cклоны.
Переключатель рядом с меню сигналов переключает скорость LFO между частотой в герцах и синхронизированной с темпом проекта.
Depth (глубина) определяет общую интенсивность LFO, в то время как Rate (скорость) определяет его скорость. Ползунки под этими параметрами обеспечивают дополнительные модуляции; Depth может модулироваться велосити ноты, а Rate высотой тона ноты.
При включенном Retrig. (перезапуск), запуск ноты перезапускает LFO с позиции фазы сигнала установленной параметром Offset (сдвиг). Ползунок Offset настраивает начальную фазу.
Каждый LFO может модулировать две цели, которые устанавливаются с помощью меню Destination. Интенсивность модуляций настраивается ползунками Amount (количество). Обратите внимание, что количество модуляции устанавливается относительно значения Depth этого LFO.
Закладка MIDI

Закладка MIDI предоставляет большой выбор внутренних MIDI назначений. MIDI контролеры Pitch Bend (колесо высоты тона), Modulation Wheel (колесо модуляции), и Aftertouch (удерживание клавиши) могут быть назначены на два направления каждый, при независимой интенсивности модуляции, устанавливаемой ползунком Amount. Обратите внимание, что колесо высоты тона привязано к модуляции высоты тона, но все равно может быть направлено на дополнительные цели.
Раздел глобальных настроек

Раздел глобальных настроек содержит общие параметры, которые относятся к общему поведению и производительности Collision.
Регулятор Volume (громкость) выступает в качестве главного контролера выходящей громкости Collision.
Collision содержит встроенный лимитер, который автоматически срабатывает когда уровень звука становится слишком высоким. Об этом свидетельствует загорающийся светодиод над контролером глобальной громкости Collision.
Кнопки Structure (структура) определяют последовательность резонаторов в Collision, выбор (1 > 2) означает последовательно, (1 + 2) параллельно.
При последовательном подключении, Mallet и Noise выводят сигнал на Resonator 1. Затем выход этого резонатора преобразуется в моно и направляется на Resonator 2, а также на свой собственный микшер (в стерео). Обратите внимание, что при использовании последовательного режима Resonator 1 должен быть обязательно включен:

В параллельном режиме выходы Mallet и Noise смешиваются, а затем направляются непосредственно в оба резонатора, которые далее выводятся на свои микшеры.

Меню Voices (голоса) устанавливает доступную полифонию. Поскольку каждый используемый голос требует дополнительных ресурсов процессора, вам возможно придётся поэкспериментировать с этим меню, чтобы найти наилучший баланс между проигрыванием и производительностью, особенно на старых компьютерах.
При включенном Retrig. (перезапуск) ноты, которые уже звучат, будут немедленно остановлены при перезапуске, и не будут создавать дополнительные голоса. Это может быть полезно для уменьшения нагрузки на процессор при работе с большим временем спада.
Советы относительно саунд дизайна
Несмотря на то, что Collision был создан для моделирования поведения объектов которые существуют в физическом мире, важно помнить, что такое моделирование допускает большую гибкость по сравнению с физическими аналогами. Collision может производить очень реалистичное имитирование традиционных ударных инструментов, таких как маримба, вибрафоны и глокеншпили, однако при этом очень легко использовать параметры инструмента не по их основному назначению, а с целью создания звуков, которые никогда не могли бы быть воспроизведены акустическими инструментами.
Чтобы запрограммировать реалистичное имитирование инструмента, стоит понять цепь событий, которые производят звук ударного инструмента (например, маримбы), а затем визуализировать эти события в разделах Collision:
- Ударник (Mallet - колотушка) бьёт по настроенной поверхности (Resonator 1).
- Резонанс настроенной поверхности усиливается с помощью резонирующей трубы (Resonator 2).
Таким образом, традиционная модель содержит раздражитель Mallet и два резонатора в последовательной конфигурации (1 > 2).
Для программирования нереалистичного поведения, конечно, сойдет всё что угодно:
- Попробуйте использовать раздражитель Noise, особенно с длинным временем огибающей, чтобы создать бледные, кажущиеся-гранулированнми текстуры. Эти параметры также могут быть использованы для имитации особых акустических эффектов, таких как выгнутые вибрафоны или хрустальные бокалы.
- Поэкспериментируйте с параллельным подключением резонаторов (1 + 2).
- Используйте LFO и MIDI контроллеры для модуляции параметров Collision.
Предупреждение: Во многих отношениях моделирование Collision это идеализированные версии объектов реального мира. Следовательно, можно очень просто запрограммировать резонансы которые являются гораздо более чувствительными к входящему уровню, чем любой физический резонатор. Определённые комбинации параметров могут привести к кардинальным изменениям в громкости. Убедитесь, что во время экспериментов с новыми звуками вы работаете на малых уровнях громкости.

